Упражнение 475 ГДЗ Колягин Ткачёва 7 класс (Алгебра)
Записать выражение в виде степени, n - натуральное число: 1) a^7•a^2n•a^(3n-2); 2) x^(n+2)•x^8•x^(4n-1); 3) (a^(6n-4)•a^(4n+1))/a^(5n-2) ; 4) (3^(4n+3)•3^(3n-2))/3^(2n-1) . Упростить: 1) (2y+8)/(y^2-4y+4)-7/(y-2);


Ниже вариант решения задания из учебника Колягин, Ткачёва, Фёдорова 7 класс, Просвещение:
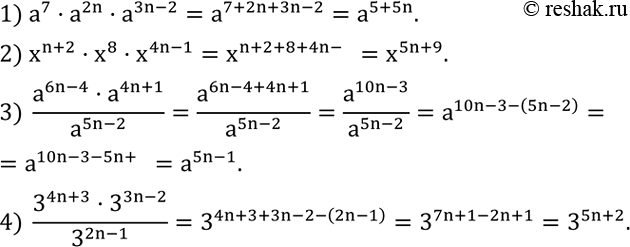
Записать выражение в виде степени, n - натуральное число:
1) a^7•a^2n•a^(3n-2);
2) x^(n+2)•x^8•x^(4n-1);
3) (a^(6n-4)•a^(4n+1))/a^(5n-2) ;
4) (3^(4n+3)•3^(3n-2))/3^(2n-1) .
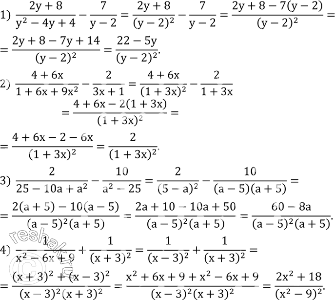
Упростить:
1) (2y+8)/(y^2-4y+4)-7/(y-2);
2) (4+6x)/(1+6x+9x^2 )-2/(3x+1);
3) 2/(25-10a+a^2 )-10/(a^2-25);
4) 1/(x^2-6x+9)+1/(x+3)^2 .
