Упражнение 481 ГДЗ Колягин Ткачёва 7 класс (Алгебра)
Сумма вклада в сберегательный банк увеличивается каждый год на p %. Доказать, что вложив в банк a рублей, через три года вкладчик будет иметь на счету a•(1+p/100)^3 рублей.Выполнить умножение:


Ниже вариант решения задания из учебника Колягин, Ткачёва, Фёдорова 7 класс, Просвещение:
Сумма вклада в сберегательный банк увеличивается каждый год на p %. Доказать, что вложив в банк a рублей, через три года вкладчик будет иметь на счету a•(1+p/100)^3 рублей.
Выполнить умножение:
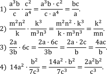
1) (a^3 b)/c•c^2/a^4 ;
2) (m^2 n^2)/k•k^3/(m^3 n^3 );
3) 2a/3b•6c;
4) 14a^2•b^2/(7c^3 ).
