Проверь себя Глава 4 ГДЗ Колягин Ткачёва 7 класс (Алгебра)
Представить в виде многочлена стандартного вида выражение (a+3)^2+(a-3)(a+3)+6a. 2. Разложить на множители: а) xy-2y; б) 16a^2-81; в) 3x^2-6x^3; г) x^2-10x+25; д) 3(x-1)+y(x-1);






Ниже вариант решения задания из учебника Колягин, Ткачёва, Фёдорова 7 класс, Просвещение:
Представить в виде многочлена стандартного вида выражение (a+3)^2+(a-3)(a+3)+6a.
2. Разложить на множители:
а) xy-2y; б) 16a^2-81; в) 3x^2-6x^3;
г) x^2-10x+25; д) 3(x-1)+y(x-1); е) 2a^2-4ab+2b^2.
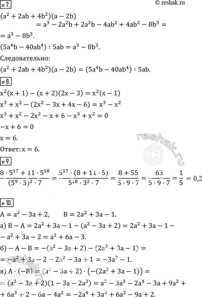
3. Разложить на множители многочлен a^2-3ab+3a-9b и найти его числовое значение при a=1; b=-1/3.
4. Разложить на множители:
а) (2-3n)^2-9n^4; б) (a-5)^2+2(5-a)+1;
в) x^6-x^4-x^2+1; г) 8b^3-1/27.
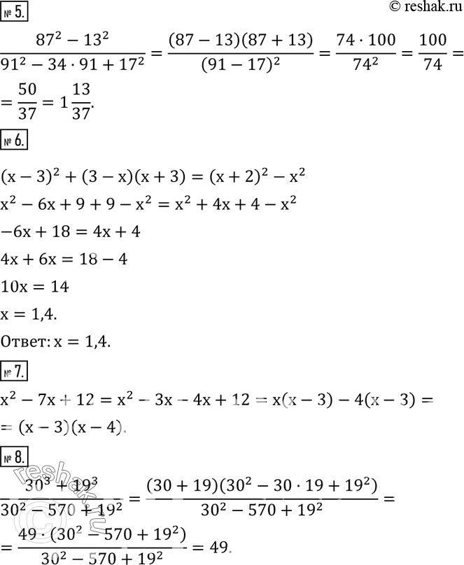
5. Вычислить: (?87?^2-?13?^2)/(?91?^2-34•91+?17?^2 ).
6. Решить уравнение (x-3)^2+(3-x)(x+3)=(x+2)^2-x^2.
7. Разложить на множители: x^2-7x+12.
8. Вычислить: (?30?^3+?19?^3)/(?30?^2-570+?19?^2 ).
9. Указать, при каких значениях a имеет единственный корень уравнение (x-a)(x+a)=(x-a)^2-2a^2-1.
10. Доказать, что (a-2m)^2-a(2m-a)+2m(2m-a)+8am=16 при условии, что a^2+4m^2=8.
11. Доказать, что значение выражения 27^5-9^6 делится на 26.
