Упражнение 48 ГДЗ Колягин Ткачёва 7 класс (Алгебра)
Сконструировать признак делимости чисел на: 1) 15; 2) 21; 3) 14; 4) 22. Упростить: 1) (5a-2b)-(3b-5a); 2) (6a-b)-(2a+3b); 3) 7x+3y-(-3x+3y); 4) 8x-(3x-2y)-5y.


Ниже вариант решения задания из учебника Колягин, Ткачёва, Фёдорова 7 класс, Просвещение:
Сконструировать признак делимости чисел на:
1) 15; 2) 21;
3) 14; 4) 22.
Упростить:
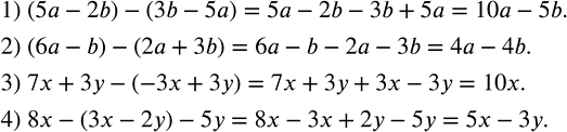
1) (5a-2b)-(3b-5a);
2) (6a-b)-(2a+3b);
3) 7x+3y-(-3x+3y);
4) 8x-(3x-2y)-5y.
