Упражнение 642 ГДЗ Колягин Ткачёва 7 класс (Алгебра)
Зависимость между переменными x и y выражена формулой y=kx. Определить k, если y=-5 при x=2,5.Построить график уравнения: 1) y=3x+5; 2) 3x+y=1;




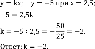
Ниже вариант решения задания из учебника Колягин, Ткачёва, Фёдорова 7 класс, Просвещение:
Зависимость между переменными x и y выражена формулой y=kx. Определить k, если y=-5 при x=2,5.
Построить график уравнения:
1) y=3x+5;
2) 3x+y=1;
3) 2y+7x=-4;
4) 4y-7x-12=0;
5) 2y-6=0;
6) 5x+10=0.
