Упражнение 638 ГДЗ Колягин Ткачёва 7 класс (Алгебра)
Тело, двигаясь равномерно, прошло путь АВ за 5 с, а путь ВС за 2 с. Во сколько раз АВ длиннее ВС?


Ниже вариант решения задания из учебника Колягин, Ткачёва, Фёдорова 7 класс, Просвещение:
Тело, двигаясь равномерно, прошло путь АВ за 5 с, а путь ВС за 2 с. Во сколько раз АВ длиннее ВС?
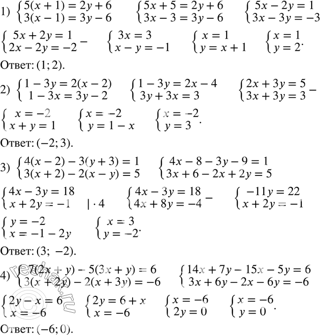
Способом алгебраического сложения решить систему уравнений:
1) {(5(x+1)=2y+6
3(x-1)=3y-6)+
2) {(1-3y=2(x-2)
1-3x=3y-2)+
3) {(4(x-2)-3(y+3)=1
3(x+2)-2(x-y)=5)+
4) {(7(2x+y)-5(3x+y)=6
3(x+2y)-2(x+3y)=-6)+
