Упражнение 637 ГДЗ Колягин Ткачёва 7 класс (Алгебра)
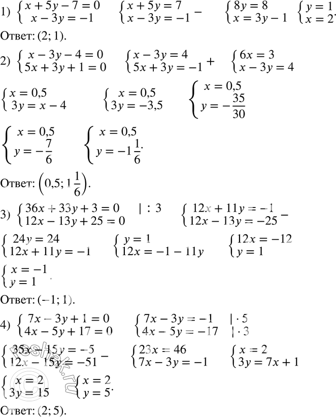
Масса m тела прямо пропорциональна его объему V. Устно найти коэффициент пропорциональности p из данной таблицы и заполнить таблицу. Способом алгебраического сложения решить систему уравнений:


Ниже вариант решения задания из учебника Колягин, Ткачёва, Фёдорова 7 класс, Просвещение:
Масса m тела прямо пропорциональна его объему V. Устно найти коэффициент пропорциональности p из данной таблицы и заполнить таблицу.
Способом алгебраического сложения решить систему уравнений:
1) {(x+5y-7=0
x-3y=-1)+
2) {(x-3y-4=0
5x+3y+1=0)+
3) {(36x+33y+3=0
12x-13y+25=0)+
4) {(7x-3y+1=0
4x-5y+17=0)+
