Упражнение 692 ГДЗ Колягин Ткачёва 7 класс (Алгебра)
Найти все пары (x;y) натуральных чисел, которые являются решениями уравнения: 1) 15y-8x=76; 2) 9y-2x=20; 3) 5y-3x=26; 4) 4y-3x=20. Боря идет на день рождения к одноклассникам, близнецам Алеше и Яше.


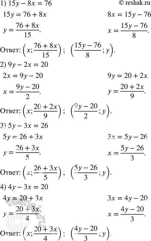
Ниже вариант решения задания из учебника Колягин, Ткачёва, Фёдорова 7 класс, Просвещение:
Найти все пары (x;y) натуральных чисел, которые являются решениями уравнения:
1) 15y-8x=76;
2) 9y-2x=20;
3) 5y-3x=26;
4) 4y-3x=20.
Боря идет на день рождения к одноклассникам, близнецам Алеше и Яше. Он хочет подарить каждому из них по мячу. В магазине остались для продажи только 3 мяча разных цветов: белый, черный и пятнистый. Сколькими способами Боря может купить 2 мяча (выбирая их из трех имеющихся) для подарков братьям?
