Упражнение 693 ГДЗ Колягин Ткачёва 7 класс (Алгебра)
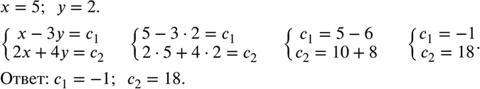
Дана система уравнений {(x-3y=c_1 2x+4y=c_2 )+ Известно, что пара чисел x=5, y=2 является ее решением. Найти c_1 и c_2. Ашот (А), Марат (М) и Сергей (С) могут занять 1, 2 и 3-е призовые места в соревнованиях.


Ниже вариант решения задания из учебника Колягин, Ткачёва, Фёдорова 7 класс, Просвещение:
Дана система уравнений
{(x-3y=c_1
2x+4y=c_2 )+
Известно, что пара чисел x=5, y=2 является ее решением. Найти c_1 и c_2.
Ашот (А), Марат (М) и Сергей (С) могут занять 1, 2 и 3-е призовые места в соревнованиях. Перечислить все возможные последовательности из имен мальчиков, где порядковый номер в последовательности соответствует занятому мальчиком месту в соревнованиях. Подсчитать количество таких последовательностей.
