Упражнение 694 ГДЗ Колягин Ткачёва 7 класс (Алгебра)
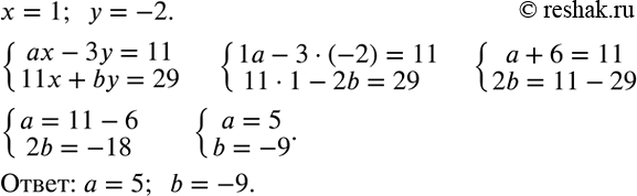
Дана система уравнений {(ax-3y=11 11x+by=29)+ Известно, что пара чисел x=1, y=-2 является ее решением. Найти a и b.В магазин поступила партия кепок трех цветов:


Ниже вариант решения задания из учебника Колягин, Ткачёва, Фёдорова 7 класс, Просвещение:
Дана система уравнений
{(ax-3y=11
11x+by=29)+
Известно, что пара чисел x=1, y=-2 является ее решением. Найти a и b.
В магазин поступила партия кепок трех цветов: белые (б), красные (к) и синие (с). Кира и Лена покупают себе по одной кепке. Сколько существует различных вариантов покупок для этих девочек? Перечислить их.
