Упражнение 74 ГДЗ Колягин Ткачёва 7 класс (Алгебра)
Найти число, если: 1) 4/7 его равны 56; 1 3/14; 2) 5/12 его равны 120; 2 5/8.Записать в виде равенства: 1) число 34 на 18 больше числа x;


Ниже вариант решения задания из учебника Колягин, Ткачёва, Фёдорова 7 класс, Просвещение:
Найти число, если:
1) 4/7 его равны 56; 1 3/14; 2) 5/12 его равны 120; 2 5/8.
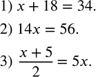
Записать в виде равенства:
1) число 34 на 18 больше числа x;
2) число 56 в x раз больше числа 14;
3) полусумма чисел x и 5 равна их произведению.
