Упражнение 742 ГДЗ Колягин Ткачёва 7 класс (Алгебра)
Решить систему уравнений: 1) {(2x+y=2 6x-2y=1)+ 2) {(x+6y=4 2x-3y=3)+ 3) {(x+7y=2 5x+13y=12)+ 4) {(5x+y=3 9x+2y=4)+ Решить уравнение: 1) (2x+1)/3=6; 2) (x-7)/2=1/4;


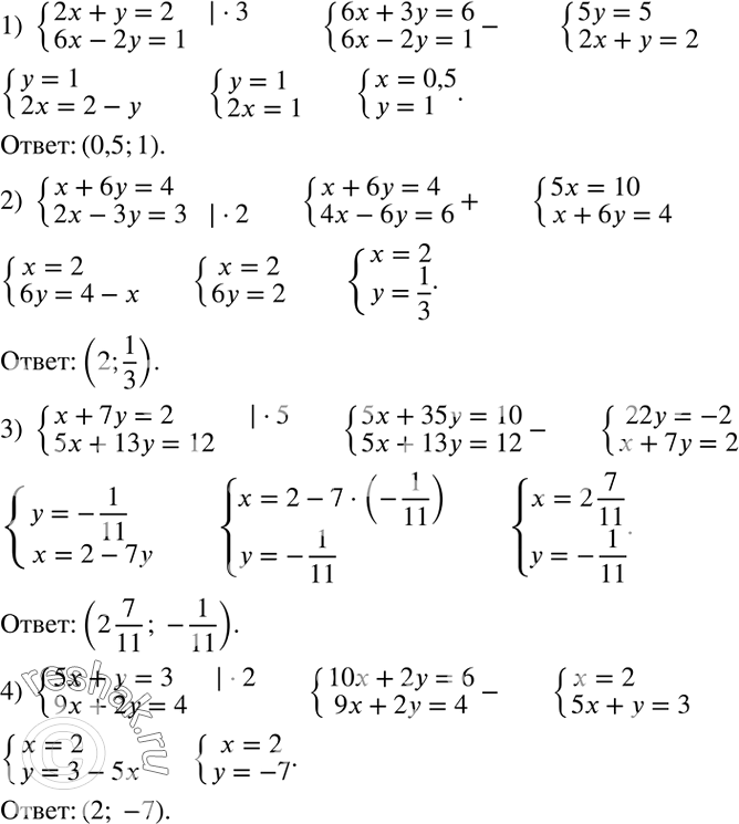
Ниже вариант решения задания из учебника Колягин, Ткачёва, Фёдорова 7 класс, Просвещение:
Решить систему уравнений:
1) {(2x+y=2
6x-2y=1)+
2) {(x+6y=4
2x-3y=3)+
3) {(x+7y=2
5x+13y=12)+
4) {(5x+y=3
9x+2y=4)+
Решить уравнение:
1) (2x+1)/3=6;
2) (x-7)/2=1/4;
3) x/3-1/2=x/2;
4) 4/3 x-1=x/9+1/6.
