Упражнение 743 ГДЗ Колягин Ткачёва 7 класс (Алгебра)
Решить систему уравнений: 1) {(2(x+y)-3(x-y)=4 5(x+y)-7(x-y)=2)+ 2) {(5(3x+y)-8(x-6y)=20 6(x-10y)-13(x-y)=52)+ Решить уравнение: 1) 7-x/2=3+7x/2; 2) 9-2x/3=7+x/3; 3) (x+3)/2=x-4; 4) 2-3x=(x-12)/2. *Цитирирование задания со ссылкой на учебник производится исключительно в учебных целях для лучшего понимания разбора решения задания.


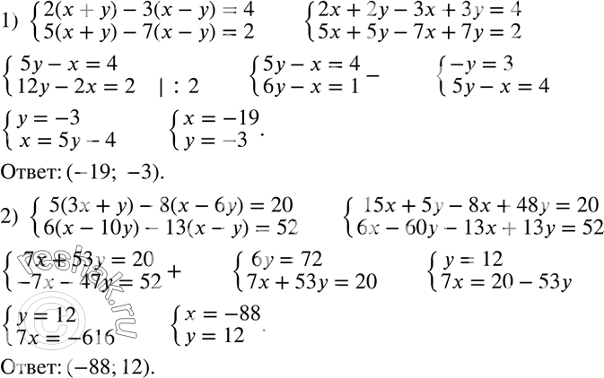
Ниже вариант решения задания из учебника Колягин, Ткачёва, Фёдорова 7 класс, Просвещение:
Решить систему уравнений:
1) {(2(x+y)-3(x-y)=4
5(x+y)-7(x-y)=2)+
2) {(5(3x+y)-8(x-6y)=20
6(x-10y)-13(x-y)=52)+
Решить уравнение:
1) 7-x/2=3+7x/2;
2) 9-2x/3=7+x/3;
3) (x+3)/2=x-4;
4) 2-3x=(x-12)/2.
