Упражнение 744 ГДЗ Колягин Ткачёва 7 класс (Алгебра)
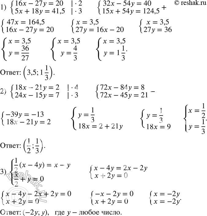
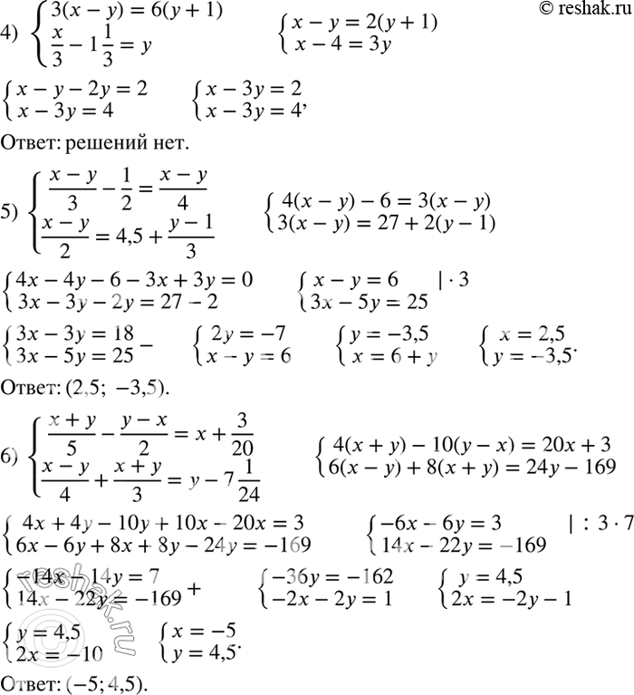
Решить систему уравнений: 1) {(16x-27y=20 5x+18y=41,5)+ 2) {(18x-21y=2 24x-15y=7)+ 3) {(1/2 (x-4y)=x-y x/2+y=0)+ 4) {(3(x-y)=6(y+1) x/3-1 1/3=y)+ 5) {((x-y)/3-1/2=(x-y)/4 (x-y)/2=4,5+(y-1)/3)+ 6) {((x+y)/5-(y-x)/2=x+3/20 (x-y)/4+(x+y)/3=y-7 1/24)+ Решить уравнение:



Ниже вариант решения задания из учебника Колягин, Ткачёва, Фёдорова 7 класс, Просвещение:
Решить систему уравнений:
1) {(16x-27y=20
5x+18y=41,5)+
2) {(18x-21y=2
24x-15y=7)+
3) {(1/2 (x-4y)=x-y
x/2+y=0)+
4) {(3(x-y)=6(y+1)
x/3-1 1/3=y)+
5) {((x-y)/3-1/2=(x-y)/4
(x-y)/2=4,5+(y-1)/3)+
6) {((x+y)/5-(y-x)/2=x+3/20
(x-y)/4+(x+y)/3=y-7 1/24)+
Решить уравнение:
1) (6x+7)/7+(3+5x)/8=3;
2) (2x-4)/5+(2x-1)/3=1;
3) 5-(2x-5)/3=(4x+2)/3;
4) (x-5)/5=(2x+1)/3-7.
