Упражнение 807 ГДЗ Колягин Ткачёва 7 класс (Алгебра)
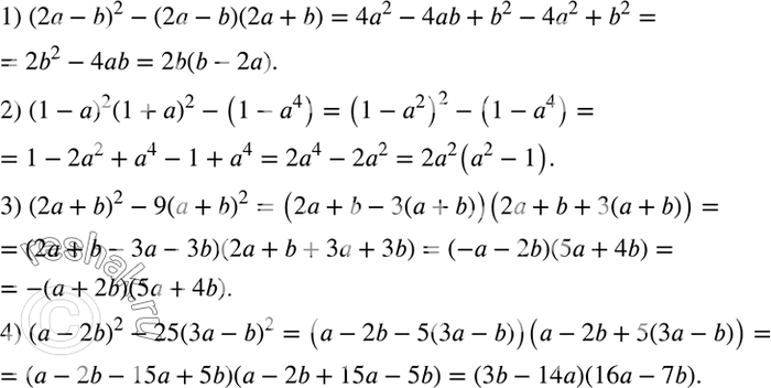
Упростить: 1) (2a-b)^2-(2a-b)(2a+b); 2) (1-a)^2 (1+a)^2-(1-a^4 ); 3) (2a+b)^2-9(a+b)^2; 4) (a-2b)^2-25(3a-b)^2. *Цитирирование задания со ссылкой на учебник производится исключительно в учебных целях для лучшего понимания разбора решения задания.

Ниже вариант решения задания из учебника Колягин, Ткачёва, Фёдорова 7 класс, Просвещение:
Упростить:
1) (2a-b)^2-(2a-b)(2a+b);
2) (1-a)^2 (1+a)^2-(1-a^4 );
3) (2a+b)^2-9(a+b)^2;
4) (a-2b)^2-25(3a-b)^2.
