Упражнение 810 ГДЗ Колягин Ткачёва 7 класс (Алгебра)
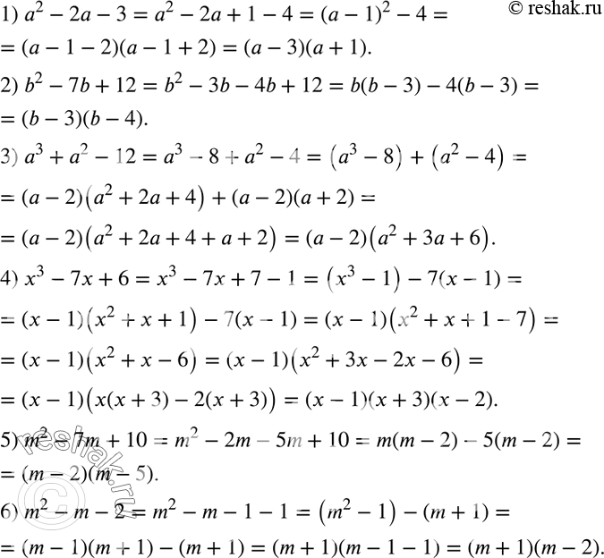
Разложить на множители: 1) a^2-2a-3; 2) b^2-7b+12; 3) a^3+a^2-12; 4) x^3-7x+6; 5) m^2-7m+10; 6) m^2-m-2. *Цитирирование задания со ссылкой на учебник производится исключительно в учебных целях для лучшего понимания разбора решения задания.

Ниже вариант решения задания из учебника Колягин, Ткачёва, Фёдорова 7 класс, Просвещение:
Разложить на множители:
1) a^2-2a-3;
2) b^2-7b+12;
3) a^3+a^2-12;
4) x^3-7x+6;
5) m^2-7m+10;
6) m^2-m-2.
