Упражнение 808 ГДЗ Колягин Ткачёва 7 класс (Алгебра)
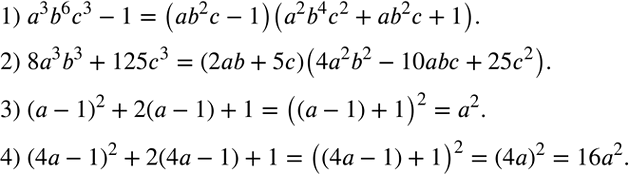
Разложить на множители: 1) a^3 b^6 c^3-1; 2) 8a^3 b^3+125c^3; 3) (a-1)^2+2(a-1)+1; 4) (4a-1)^2+2(4a-1)+1. *Цитирирование задания со ссылкой на учебник производится исключительно в учебных целях для лучшего понимания разбора решения задания.

Ниже вариант решения задания из учебника Колягин, Ткачёва, Фёдорова 7 класс, Просвещение:
Разложить на множители:
1) a^3 b^6 c^3-1;
2) 8a^3 b^3+125c^3;
3) (a-1)^2+2(a-1)+1;
4) (4a-1)^2+2(4a-1)+1.
