Упражнение 809 ГДЗ Колягин Ткачёва 7 класс (Алгебра)
Разложить на множители: 1) 4ab^2+15abc-4bcd-15c^2 d; 2) m^3-m^2+m-1; 3) a^2+b^2-c^2+2ab; 4) (a+3)^2-6(a+3)+9; 5) (m-1)(m^2-7m)+(m-1)(5m+1); 6) 1+2ab-a^2-b^2. *Цитирирование задания со ссылкой на учебник производится исключительно в учебных целях для лучшего понимания разбора решения задания.

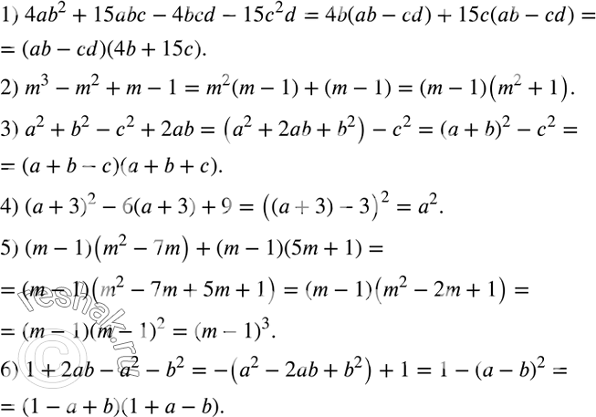
Ниже вариант решения задания из учебника Колягин, Ткачёва, Фёдорова 7 класс, Просвещение:
Разложить на множители:
1) 4ab^2+15abc-4bcd-15c^2 d;
2) m^3-m^2+m-1;
3) a^2+b^2-c^2+2ab;
4) (a+3)^2-6(a+3)+9;
5) (m-1)(m^2-7m)+(m-1)(5m+1);
6) 1+2ab-a^2-b^2.
