Упражнение 82 ГДЗ Колягин Ткачёва 7 класс (Алгебра)
Найти неизвестный член пропорции, обозначенный буквой х: 1) 18 : 3 = 24 : x; 2) x : 15 = 17 :



Ниже вариант решения задания из учебника Колягин, Ткачёва, Фёдорова 7 класс, Просвещение:
Найти неизвестный член пропорции, обозначенный буквой х:
1) 18 : 3 = 24 : x; 2) x : 15 = 17 : 20;
3) 6/x = 30/13; 4) 27/14 = x/21;
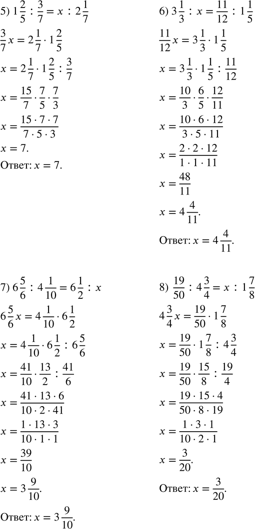
5) 1 2/5 : 3/7 = x : 2 1/7; 6) 3 1/3 : x = 11/12 : 1 1/5;
7) 6 5/6 : 4 1/10 = 6 1/2 : x; 8) 19/50 : 4 3/4 = x : 1 7/8.
Найти все значения x, при которых верно равенство:
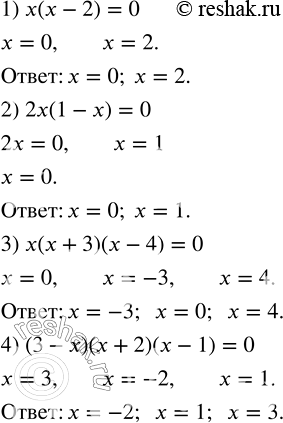
1) x(x-2)=0;
2) 2x(1-x)=0;
3) x(x+3)(x-4)=0;
4) (3-x)(x+2)(x-1)=0.
