Упражнение 86 ГДЗ Колягин Ткачёва 7 класс (Алгебра)
В таблице указаны подписные цены на газету. Можно ли утверждать, что подписная стоимость прямо пропорциональна сроку, на который осуществляется подписка? Ответ обосновать.Решить уравнение:


Ниже вариант решения задания из учебника Колягин, Ткачёва, Фёдорова 7 класс, Просвещение:
В таблице указаны подписные цены на газету.
Можно ли утверждать, что подписная стоимость прямо пропорциональна сроку, на который осуществляется подписка? Ответ обосновать.
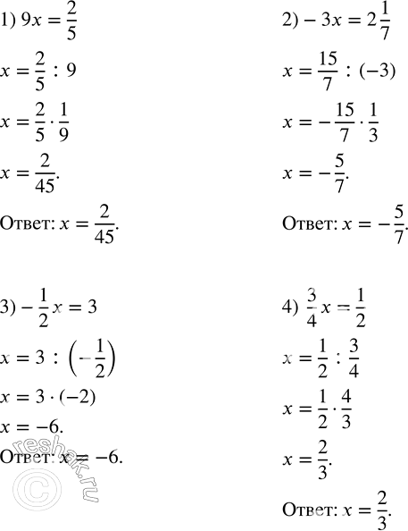
Решить уравнение:
1) 9x=2/5;
2) -3x=2 1/7;
3) -1/2 x=3;
4) 3/4 x=1/2.
