Упражнение 85 ГДЗ Колягин Ткачёва 7 класс (Алгебра)
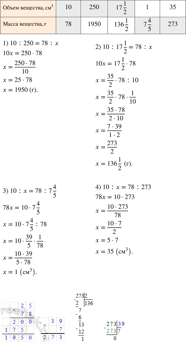
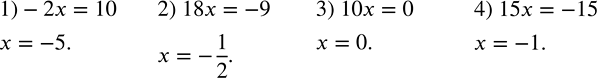
Заполнить пустые клетки таблицы прямо пропорциональных величин.(Устно.) Решить уравнение: 1) -2x=10; 2) 18x=-9; 3) 10x=0; 4) 15x=-15. *Цитирирование задания со ссылкой на учебник производится исключительно в учебных целях для лучшего понимания разбора решения задания.





Ниже вариант решения задания из учебника Колягин, Ткачёва, Фёдорова 7 класс, Просвещение:
Заполнить пустые клетки таблицы прямо пропорциональных величин.
(Устно.) Решить уравнение:
1) -2x=10;
2) 18x=-9;
3) 10x=0;
4) 15x=-15.
