Упражнение 839 ГДЗ Колягин Ткачёва 7 класс (Алгебра)
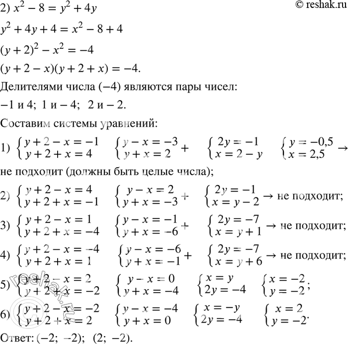
Найти все пары целых чисел x и y, при которых справедливо равенство: 1) x^2+2x=y^2+6; 2) x^2-8=y^2+4y. *Цитирирование задания со ссылкой на учебник производится исключительно в учебных целях для лучшего понимания разбора решения задания.


Ниже вариант решения задания из учебника Колягин, Ткачёва, Фёдорова 7 класс, Просвещение:
Найти все пары целых чисел x и y, при которых справедливо равенство:
1) x^2+2x=y^2+6; 2) x^2-8=y^2+4y.
