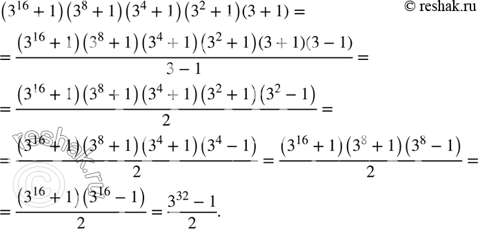
Упражнение 842 ГДЗ Колягин Ткачёва 7 класс (Алгебра)
Упростить выражение (3^16+1)(3^8+1)(3^4+1)(3^2+1)(3+1). *Цитирирование задания со ссылкой на учебник производится исключительно в учебных целях для лучшего понимания разбора решения задания.

Ниже вариант решения задания из учебника Колягин, Ткачёва, Фёдорова 7 класс, Просвещение:
Упростить выражение
(3^16+1)(3^8+1)(3^4+1)(3^2+1)(3+1).
