Упражнение 88 ГДЗ Колягин Ткачёва 7 класс (Алгебра)
С помощью контрпримеров опровергнуть предположение о том, что следующие величины находятся в прямой пропорциональной зависимости: 1) сторона квадрата и его площадь;


Ниже вариант решения задания из учебника Колягин, Ткачёва, Фёдорова 7 класс, Просвещение:
С помощью контрпримеров опровергнуть предположение о том, что следующие величины находятся в прямой пропорциональной зависимости:
1) сторона квадрата и его площадь;
2) количество товара и его цена при покупке товара на одну и ту же сумму;
3) возраст человека и его рост; масса;
4) удалённость станции от вокзала и стоимость проезда до неё.
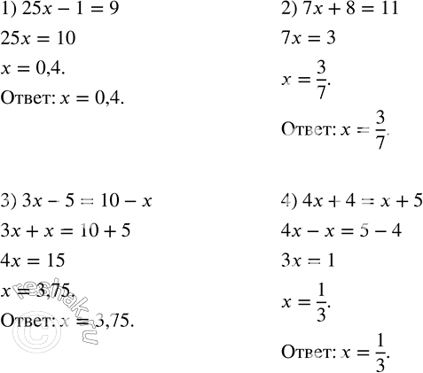
Решить уравнение:
1) 25x-1=9;
2) 7x+8=11;
3) 3x-5=10-x;
4) 4x+4=x+5.
