Вводные упражнения 38 ГДЗ Колягин Ткачёва 7 класс (Алгебра)
Построить график функции: 1) y=-2x+0,5; 2) y=1/2 x-1. 2. Выразить y из уравнения: 1) 3y=5; 2) 0,5y=-7; 3) 9-2y=-3; 4) 2x-y=1;


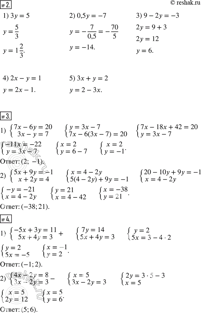
Ниже вариант решения задания из учебника Колягин, Ткачёва, Фёдорова 7 класс, Просвещение:
Построить график функции: 1) y=-2x+0,5; 2) y=1/2 x-1.
2. Выразить y из уравнения:
1) 3y=5; 2) 0,5y=-7; 3) 9-2y=-3; 4) 2x-y=1; 5) 3x+y=2.
3. Способом подстановки решить систему уравнений:
1) {(7x-6y=20
3x-y=7)+
2) {(5x+9y=-1
x+2y=4)+
4. Способом алгебраического сложения решить систему уравнений:
1) {(-5x+3y=11
5x+4y=3)+
2) {(4x-2y=8
3x-2y=3)+
