Упражнение 710 ГДЗ Колягин Ткачёва 7 класс (Алгебра)
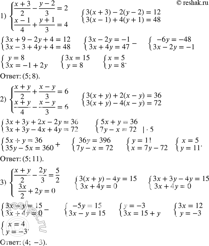
Способом алгебраического сложения решить систему уравнений: 1) {((x+3)/2-(y-2)/3=2 (x-1)/4+(y+1)/3=4)+ 2) {((x+y)/2+(x-y)/3=6 (x+y)/4-(x-y)/3=6)+ 3) {((x+y)/2-2y/3=5/2 3x/2+2y=0)+ Сколько существует различных двузначных чисел, в записи которых можно использовать цифры 1, 2, 3, 4, 5, 6, если цифры в числе:


Ниже вариант решения задания из учебника Колягин, Ткачёва, Фёдорова 7 класс, Просвещение:
Способом алгебраического сложения решить систему уравнений:
1) {((x+3)/2-(y-2)/3=2
(x-1)/4+(y+1)/3=4)+
2) {((x+y)/2+(x-y)/3=6
(x+y)/4-(x-y)/3=6)+
3) {((x+y)/2-2y/3=5/2
3x/2+2y=0)+
Сколько существует различных двузначных чисел, в записи которых можно использовать цифры 1, 2, 3, 4, 5, 6, если цифры в числе: 1) могут повторяться; 2) должны быть различными?
