Упражнение 708 ГДЗ Колягин Ткачёва 7 класс (Алгебра)
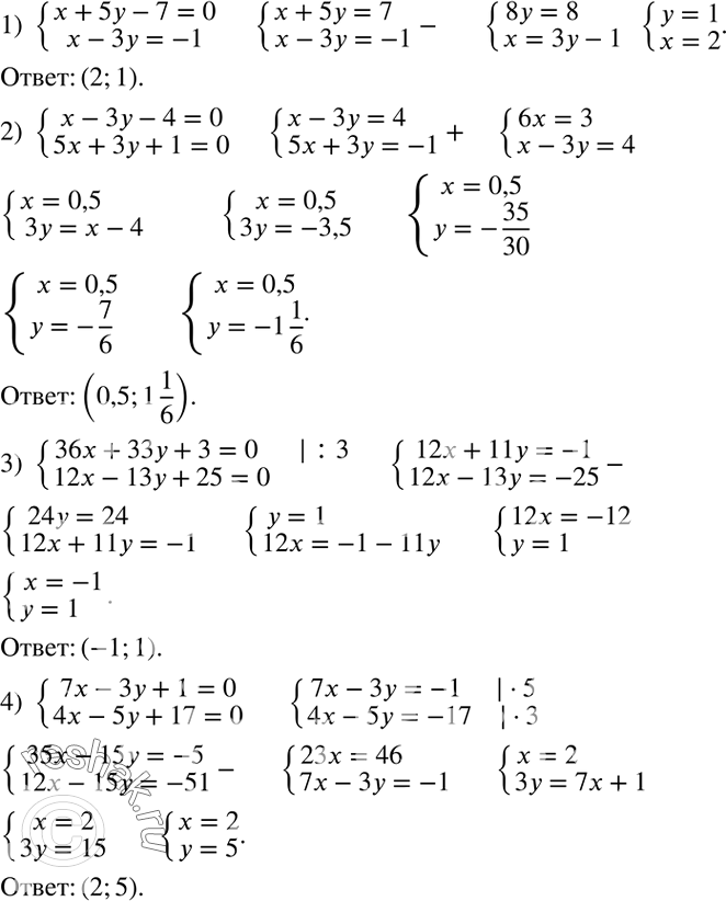
Способом алгебраического сложения решить систему уравнений: 1) {(x+5y-7=0 x-3y=-1)+ 2) {(x-3y-4=0 5x+3y+1=0)+ 3) {(36x+33y+3=0 12x-13y+25=0)+ 4) {(7x-3y+1=0 4x-5y+17=0)+ Мама решила сварить компот из фруктов двух видов.


Ниже вариант решения задания из учебника Колягин, Ткачёва, Фёдорова 7 класс, Просвещение:
Способом алгебраического сложения решить систему уравнений:
1) {(x+5y-7=0
x-3y=-1)+
2) {(x-3y-4=0
5x+3y+1=0)+
3) {(36x+33y+3=0
12x-13y+25=0)+
4) {(7x-3y+1=0
4x-5y+17=0)+
Мама решила сварить компот из фруктов двух видов. Сколько разных (по сочетанию видов фруктов) вариантов компотовможет сварить мама, если у нее имеется 7 видов фруктов?
