Упражнение 11.17 ГДЗ Мордкович Семенов 9 класс (Алгебра)
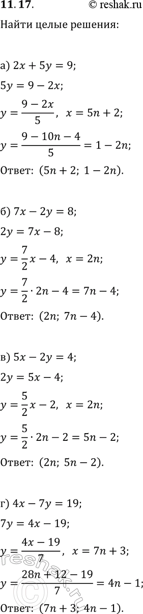
11.17. Найдите целочисленные решения уравнения: а) 2x+5y=9; в) 5x-2y=4; б) 7x-2y=8; г) 4x-7y=19. *Цитирирование задания со ссылкой на учебник производится исключительно в учебных целях для лучшего понимания разбора решения задания.

Ниже вариант решения задания из учебника Мордкович, Семенов, Александрова 9 класс, Бином:
11.17. Найдите целочисленные решения уравнения:
а) 2x+5y=9; в) 5x-2y=4;
б) 7x-2y=8; г) 4x-7y=19.
