Упражнение 11.15 ГДЗ Мордкович Семенов 9 класс (Алгебра)
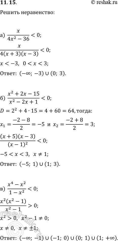
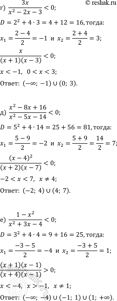
11.15. При каких значениях переменной график функции y=g(x) расположен ниже оси абсцисс, если: а) g(x)=x/(4x^2-36); г) g(x)=3x/(x^2-2x-3); б) g(x)=(x^2+2x-15)/(x^2-2x+1); д) g(x)=(x^2-8x+16)/(x^2-5x-14);


Ниже вариант решения задания из учебника Мордкович, Семенов, Александрова 9 класс, Бином:
11.15. При каких значениях переменной график функции y=g(x) расположен ниже оси абсцисс, если:
а) g(x)=x/(4x^2-36); г) g(x)=3x/(x^2-2x-3);
б) g(x)=(x^2+2x-15)/(x^2-2x+1); д) g(x)=(x^2-8x+16)/(x^2-5x-14);
в) g(x)=(x^4-x^2)/(1-x^2); е) g(x)=(1-x^2)/(x^2+3x-4)?
