Упражнение 11.16 ГДЗ Мордкович Семенов 9 класс (Алгебра)
11.16. При каких значениях переменной график функции y=f(x) расположен выше графика функции y=g(x), если: а) f(x)=x и g(x)=2x^2; б) f(x)=1/(x-1) и g(x)=2/x;


Ниже вариант решения задания из учебника Мордкович, Семенов, Александрова 9 класс, Бином:
11.16. При каких значениях переменной график функции y=f(x) расположен выше графика функции y=g(x), если:
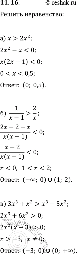
а) f(x)=x и g(x)=2x^2;
б) f(x)=1/(x-1) и g(x)=2/x;
в) f(x)=3x^3+x^2 и g(x)=x^3-5x^2;
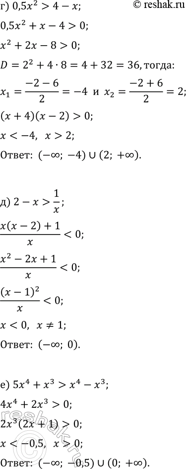
г) f(x)=0,5x^2 и g(x)=4-x;
д) f(x)=2-x и g(x)=1/x;
е) f(x)=5x^4+x^3 и g(x)=x^4-x^3?
