Упражнение 19.13 ГДЗ Мордкович Семенов 9 класс (Алгебра)
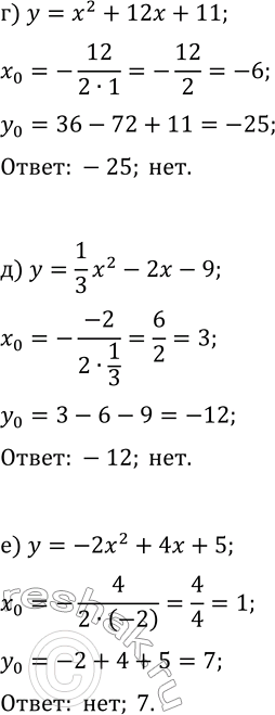
19.13. Найдите наименьшее и наибольшее значения данной функции: а) y=x^2+6x-2; г) y=x^2+12x+11; б) y=4x^2+8x-3; д) y=1/3 x^2-2x-9; в) y=-3/4 x^2-3x+11; е) y=-2x^2+4x+5.


Ниже вариант решения задания из учебника Мордкович, Семенов, Александрова 9 класс, Бином:
19.13. Найдите наименьшее и наибольшее значения данной функции:
а) y=x^2+6x-2; г) y=x^2+12x+11;
б) y=4x^2+8x-3; д) y=1/3 x^2-2x-9;
в) y=-3/4 x^2-3x+11; е) y=-2x^2+4x+5.
