Упражнение 23.7 ГДЗ Мордкович Семенов 9 класс (Алгебра)
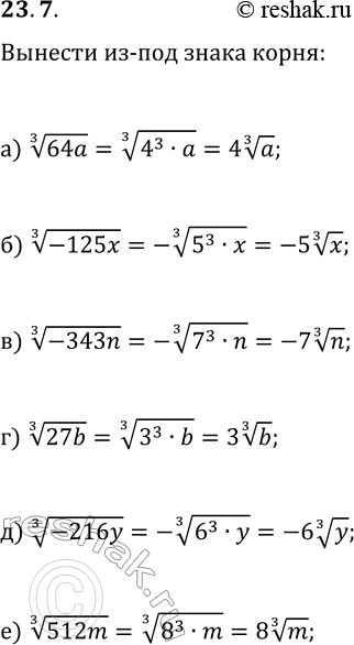
23.7. Вынесите множитель из-под знака радикала: а) (64a)^(1/3); в) (-343n)^(1/3); д) (-216y)^(1/3); б) (-125x)^(1/3); г) (27b)^(1/3); е) (512m)^(1/3). *Цитирирование задания со ссылкой на учебник производится исключительно в учебных целях для лучшего понимания разбора решения задания.

Ниже вариант решения задания из учебника Мордкович, Семенов, Александрова 9 класс, Бином:
23.7. Вынесите множитель из-под знака радикала:
а) (64a)^(1/3); в) (-343n)^(1/3); д) (-216y)^(1/3);
б) (-125x)^(1/3); г) (27b)^(1/3); е) (512m)^(1/3).
