Упражнение 23.23 ГДЗ Мордкович Семенов 9 класс (Алгебра)
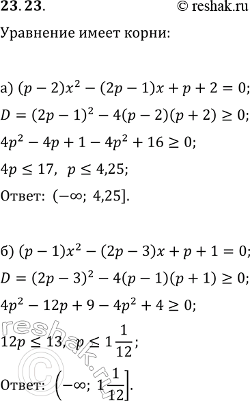
23.23. Найдите все значения параметра р, при которых уравнение имеет действительные корни: а) (p-2)x^2-(2p-1)x+p+2=0; б) (p-1)x^2-(2p-3)x+p+1=0. *Цитирирование задания со ссылкой на учебник производится исключительно в учебных целях для лучшего понимания разбора решения задания.

Ниже вариант решения задания из учебника Мордкович, Семенов, Александрова 9 класс, Бином:
23.23. Найдите все значения параметра р, при которых уравнение имеет действительные корни:
а) (p-2)x^2-(2p-1)x+p+2=0; б) (p-1)x^2-(2p-3)x+p+1=0.
