Упражнение 23.21 ГДЗ Мордкович Семенов 9 класс (Алгебра)
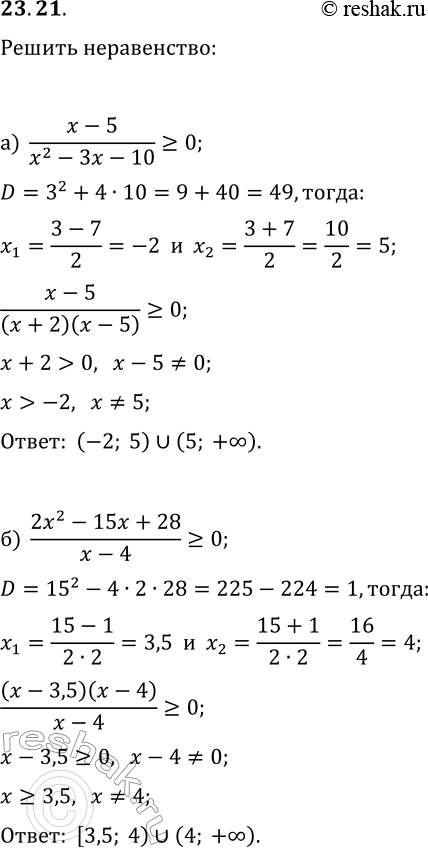
23.21. Решите неравенство: а) (x-5)/(x^2-3x-10)?0; б) (2x^2-15x+28)/(x-4)?0. *Цитирирование задания со ссылкой на учебник производится исключительно в учебных целях для лучшего понимания разбора решения задания.

Ниже вариант решения задания из учебника Мордкович, Семенов, Александрова 9 класс, Бином:
23.21. Решите неравенство:
а) (x-5)/(x^2-3x-10)?0;
б) (2x^2-15x+28)/(x-4)?0.
