Упражнение 23.18 ГДЗ Мордкович Семенов 9 класс (Алгебра)
23.18. Расположите числа в порядке убывания: а) ?, (-35)^(1/5), 3, 70^(1/6); б) 3/?, 1, ?^(1/6), (-?)^(1/7); в) ?/2, 0, 35^(1/3), (-0,25)^(1/5);


Ниже вариант решения задания из учебника Мордкович, Семенов, Александрова 9 класс, Бином:
23.18. Расположите числа в порядке убывания:
а) ?, (-35)^(1/5), 3, 70^(1/6);
б) 3/?, 1, ?^(1/6), (-?)^(1/7);
в) ?/2, 0, 35^(1/3), (-0,25)^(1/5);
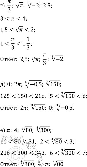
г) ?/3, v?, (-2)^(1/3), 2,5;
д) 0, 2?, (-0,5)^(1/5), 150^(1/3);
е) ?, 4, 80^(1/4), 300^(1/3).
