Упражнение 24.1 ГДЗ Мордкович Семенов 9 класс (Алгебра)
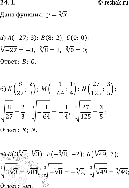
24.1. Не выполняя построения, выясните, принадлежит ли графику функции y=x^(1/3) заданная точка: а) A(-27; 3), B(8; 2), C(0; 0); б) K(8/27;


Ниже вариант решения задания из учебника Мордкович, Семенов, Александрова 9 класс, Бином:
24.1. Не выполняя построения, выясните, принадлежит ли графику функции y=x^(1/3) заданная точка:
а) A(-27; 3), B(8; 2), C(0; 0);
б) K(8/27; 2/3), M(-1/64; 1/4), N(27/125; 3/5);
в) E(3 3^(1/3); 3^(1/3))), F(-8^(1/3); -2), G(49^(1/3); 7);
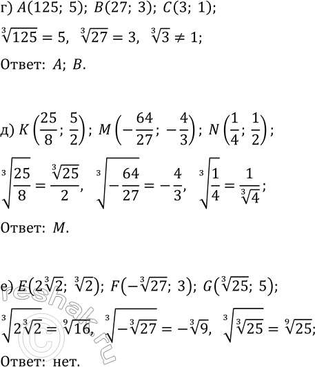
г) A(125; 5), B(27; 3), C(3; 1);
д) K(25/8; 5/2), M(-64/27, -4/3), N(1/4; 1/2);
е) E(2 2^(1/3); 2^(1/3)), F(-27^(1/3); 3), G(25^(1/3); 5).
