Упражнение 23.9 ГДЗ Мордкович Семенов 9 класс (Алгебра)
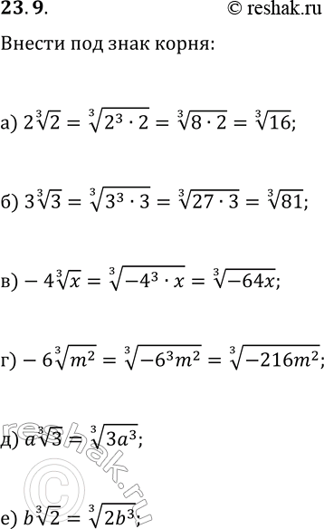
23.9. Внесите множитель под знак радикала: а) 2(2^(1/3)); в) -4(x^(1/3)); д) a(3^(1/3)); б) 3(3^(1/3)); г) -6(m^(2/3)); е) b(2^(1/3)). *Цитирирование задания со ссылкой на учебник производится исключительно в учебных целях для лучшего понимания разбора решения задания.

Ниже вариант решения задания из учебника Мордкович, Семенов, Александрова 9 класс, Бином:
23.9. Внесите множитель под знак радикала:
а) 2(2^(1/3)); в) -4(x^(1/3)); д) a(3^(1/3));
б) 3(3^(1/3)); г) -6(m^(2/3)); е) b(2^(1/3)).
