Упражнение 23.8 ГДЗ Мордкович Семенов 9 класс (Алгебра)
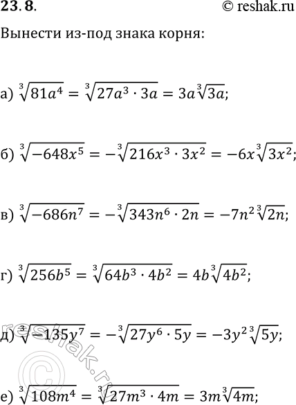
23.8. Вынесите множитель из-под знака радикала: а) (81a^4)^(1/3); в) (-686n^7)^(1/3); д) (-135y^7)^(1/3); б) (-648x^5)^(1/3); г) (256b^5)^(1/3); е) (108m^4)^(1/3). *Цитирирование задания со ссылкой на учебник производится исключительно в учебных целях для лучшего понимания разбора решения задания.

Ниже вариант решения задания из учебника Мордкович, Семенов, Александрова 9 класс, Бином:
23.8. Вынесите множитель из-под знака радикала:
а) (81a^4)^(1/3); в) (-686n^7)^(1/3); д) (-135y^7)^(1/3);
б) (-648x^5)^(1/3); г) (256b^5)^(1/3); е) (108m^4)^(1/3).
