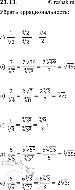
Упражнение 23.13 ГДЗ Мордкович Семенов 9 класс (Алгебра)
23.13. Освободитесь от иррациональности в знаменателе дроби: а) 1/2^(1/3); в) 2/4^(1/3); д) 5/5^(1/3); б) 7/7^(1/3); г) 1/3^(1/3); е) 6/9^(1/3). *Цитирирование задания со ссылкой на учебник производится исключительно в учебных целях для лучшего понимания разбора решения задания.

Ниже вариант решения задания из учебника Мордкович, Семенов, Александрова 9 класс, Бином:
23.13. Освободитесь от иррациональности в знаменателе дроби:
а) 1/2^(1/3); в) 2/4^(1/3); д) 5/5^(1/3);
б) 7/7^(1/3); г) 1/3^(1/3); е) 6/9^(1/3).
