Упражнение 28.1 ГДЗ Мордкович Семенов 9 класс (Алгебра)
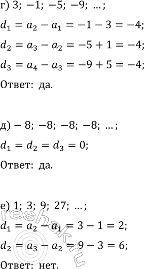
28.1. Установите, является ли данная последовательность арифметической прогрессией: а) 2, 5, 8, 11, ...; г) 3, -1, -5, -9, ...; б) 1, 2, 4, 7, ...;


Ниже вариант решения задания из учебника Мордкович, Семенов, Александрова 9 класс, Бином:
28.1. Установите, является ли данная последовательность арифметической прогрессией:
а) 2, 5, 8, 11, ...; г) 3, -1, -5, -9, ...;
б) 1, 2, 4, 7, ...; д) -8, -8, -8, -8, ...;
в) 10, 5, 0, -5, ...; е) 1, 3, 9, 27, ... .
