Упражнение 28.2 ГДЗ Мордкович Семенов 9 класс (Алгебра)
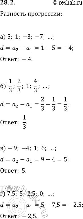
28.2. Найдите разность арифметической прогрессии: а) 5, 1, -3, -7, ...; в) -9, -4, 1, 6, ...; б) 1/3, 2/3, 1, 4/3, ...;

Ниже вариант решения задания из учебника Мордкович, Семенов, Александрова 9 класс, Бином:
28.2. Найдите разность арифметической прогрессии:
а) 5, 1, -3, -7, ...; в) -9, -4, 1, 6, ...;
б) 1/3, 2/3, 1, 4/3, ...; г) 7,5, 5, 2,5, 0, ... .
