Упражнение 28.34 ГДЗ Мордкович Семенов 9 класс (Алгебра)
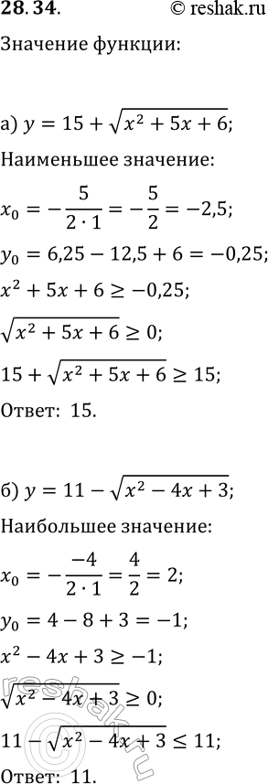
28.34. Найдите: а) наименьшее значение функции y=15+v(x^2+5x+6); б) наибольшее значение функции y=11-v(x^2-4x+3). *Цитирирование задания со ссылкой на учебник производится исключительно в учебных целях для лучшего понимания разбора решения задания.

Ниже вариант решения задания из учебника Мордкович, Семенов, Александрова 9 класс, Бином:
28.34. Найдите:
а) наименьшее значение функции y=15+v(x^2+5x+6);
б) наибольшее значение функции y=11-v(x^2-4x+3).
