Упражнение 29.1 ГДЗ Мордкович Семенов 9 класс (Алгебра)
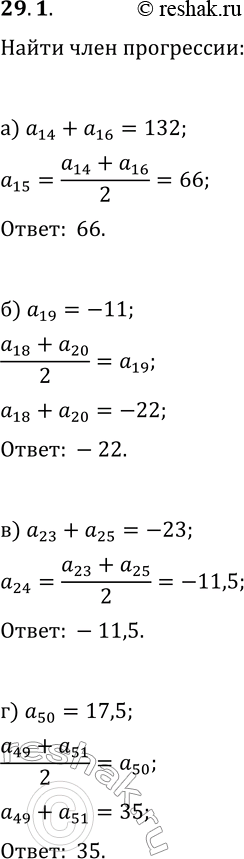
29.1. Дана арифметическая прогрессия (a_n). Найдите: а) a_15, если a_14+a_16=132; б) a_18+a_20, если a_19=-11; в) a_24, если a_23+a_25=-23; г) a_49+a_51, если a_50=17,5.

Ниже вариант решения задания из учебника Мордкович, Семенов, Александрова 9 класс, Бином:
29.1. Дана арифметическая прогрессия (a_n). Найдите:
а) a_15, если a_14+a_16=132;
б) a_18+a_20, если a_19=-11;
в) a_24, если a_23+a_25=-23;
г) a_49+a_51, если a_50=17,5.
