Упражнение 28.29 ГДЗ Мордкович Семенов 9 класс (Алгебра)
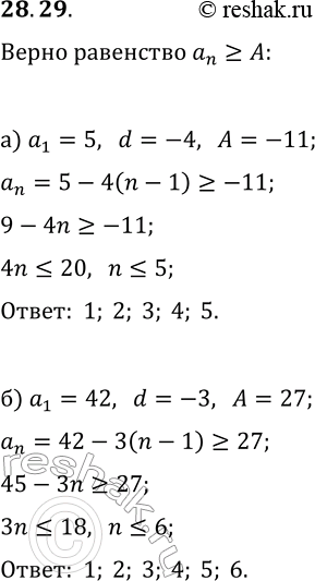
28.29. Укажите номера членов арифметической прогрессии (a_n), для которых выполняется неравенство a_n?A, если: а) a_1=5, d=-4, A=-11; б) a_1=42, d=-3, A=27.

Ниже вариант решения задания из учебника Мордкович, Семенов, Александрова 9 класс, Бином:
28.29. Укажите номера членов арифметической прогрессии (a_n), для которых выполняется неравенство a_n?A, если:
а) a_1=5, d=-4, A=-11; б) a_1=42, d=-3, A=27.
