Упражнение 29.2 ГДЗ Мордкович Семенов 9 класс (Алгебра)
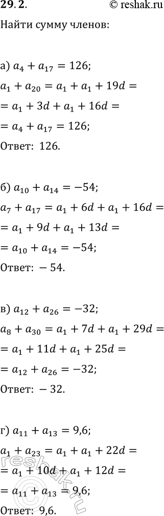
29.2. Дана арифметическая прогрессия (a_n). Найдите: а) a_1+a_20, если a_4+a_17=126; б) a_7+a_17, если a_10+a_14=-54; в) a_8+a_30, если a_12+a_26=-32; г) a_3+a_23, если a_11+a_13=9,6.

Ниже вариант решения задания из учебника Мордкович, Семенов, Александрова 9 класс, Бином:
29.2. Дана арифметическая прогрессия (a_n). Найдите:
а) a_1+a_20, если a_4+a_17=126;
б) a_7+a_17, если a_10+a_14=-54;
в) a_8+a_30, если a_12+a_26=-32;
г) a_3+a_23, если a_11+a_13=9,6.
