Упражнение 29.4 ГДЗ Мордкович Семенов 9 класс (Алгебра)
29.4. а) В арифметической прогрессии (a_n) сумма четырнадцатого и шестнадцатого членов равна -20, а сумма двадцать девятого и тридцать первого — 40.

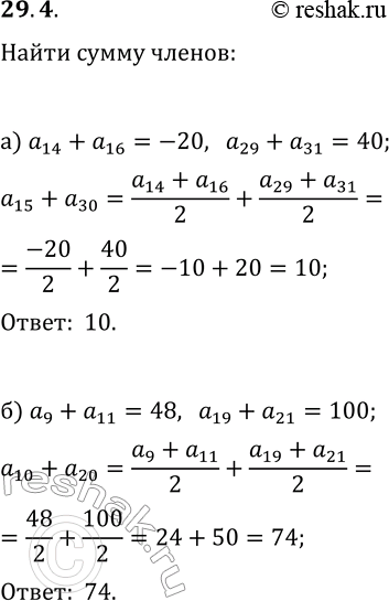
Ниже вариант решения задания из учебника Мордкович, Семенов, Александрова 9 класс, Бином:
29.4. а) В арифметической прогрессии (a_n) сумма четырнадцатого и шестнадцатого членов равна -20, а сумма двадцать девятого и тридцать первого — 40. Найдите сумму пятнадцатого и тридцатого членов прогрессии.
б) В арифметической прогрессии (a_n) сумма девятого и одиннадцатого членов равна 48, а сумма девятнадцатого и двадцать первого — 100. Найдите сумму десятого и двадцатого членов прогрессии.
