Упражнение 29.5 ГДЗ Мордкович Семенов 9 класс (Алгебра)
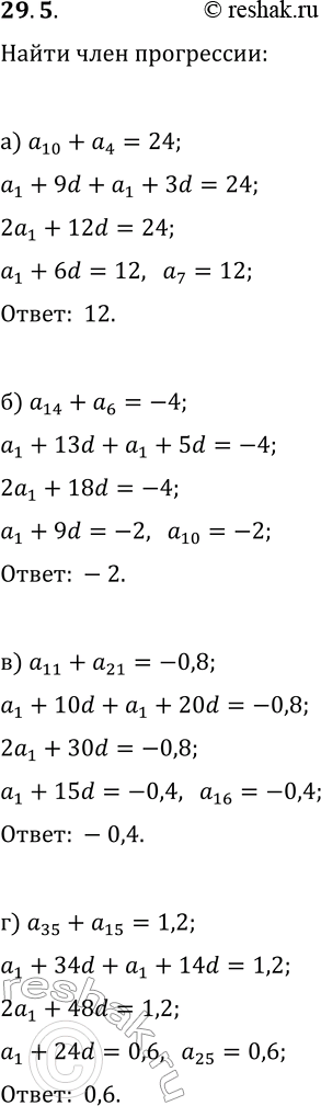
29.5. Используя характеристическое свойство арифметической прогрессии, найдите: а) a_7, если известно, что a_10+a_4=24; б) a_10, если известно, что a_14+a_6=-4; в) a_16, если известно, что a_11+a_21=-0,8;

Ниже вариант решения задания из учебника Мордкович, Семенов, Александрова 9 класс, Бином:
29.5. Используя характеристическое свойство арифметической прогрессии, найдите:
а) a_7, если известно, что a_10+a_4=24;
б) a_10, если известно, что a_14+a_6=-4;
в) a_16, если известно, что a_11+a_21=-0,8;
г) a_25, если известно, что a_35+a_15=1,2.
