Упражнение 3.7 ГДЗ Мордкович Семенов 9 класс (Алгебра)
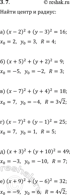
3.7. Найдите координаты центра и радиус окружности: а) (x-2)^2+(y-3)^2=16; г) (x-7)^2+(y-1)^2=25; б) (x+5)^2+(y+2)^2=9; д) (x+3)^2+(y+10)^2=49; в) (x-7)^2+(y+4)^2=18; е) (x+9)^2+(y-6)^2=32. *Цитирирование задания со ссылкой на учебник производится исключительно в учебных целях для лучшего понимания разбора решения задания.

Ниже вариант решения задания из учебника Мордкович, Семенов, Александрова 9 класс, Бином:
3.7. Найдите координаты центра и радиус окружности:
а) (x-2)^2+(y-3)^2=16; г) (x-7)^2+(y-1)^2=25;
б) (x+5)^2+(y+2)^2=9; д) (x+3)^2+(y+10)^2=49;
в) (x-7)^2+(y+4)^2=18; е) (x+9)^2+(y-6)^2=32.
