Упражнение 3.10 ГДЗ Мордкович Семенов 9 класс (Алгебра)
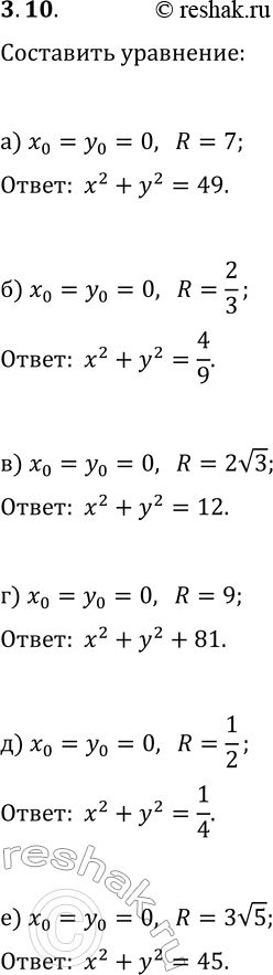
3.10. Поставьте уравнение окружности с центром в начале координат и радиусом: а) 7; б) 2/3; в) 2v3; г) 9; д) 1/2;

Ниже вариант решения задания из учебника Мордкович, Семенов, Александрова 9 класс, Бином:
3.10. Поставьте уравнение окружности с центром в начале координат и радиусом:
а) 7; б) 2/3; в) 2v3; г) 9; д) 1/2; е) 3v5.
