Упражнение 3.12 ГДЗ Мордкович Семенов 9 класс (Алгебра)
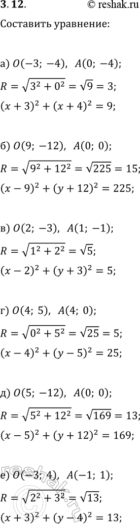
3.12. Составьте уравнение окружности: а) с центром в точке (-3; -4), касающейся оси Оу; б) с центром в точке (9; -12), проходящей через начало координат;

Ниже вариант решения задания из учебника Мордкович, Семенов, Александрова 9 класс, Бином:
3.12. Составьте уравнение окружности:
а) с центром в точке (-3; -4), касающейся оси Оу;
б) с центром в точке (9; -12), проходящей через начало координат;
в) с центром в точке (2; -3), проходящей через точку (1; -1);
г) с центром в точке (4; 5), касающейся оси Ох;
д) с центром в точке (5; -12), проходящей через начало координат;
е) с центром в точке (-3; 4), проходящей через точку (-1; 1).
